Відділ хімії біоактивних азотовмісних гетероциклічних основ створено в 1960 р. в Інституті органічної хімії АН УРСР шляхом приєднання частини відділу фосфороорганічних сполук до відділу піримідинових основ. В 1987 р. відділ був переведений до новоствореного Інституту біоорганічної хімії АН УРСР. З 1987 р. по 2009 р. відділ очолював доктор хімічних наук, професор Драч Борис Сергійович, під керівництвом якого були розроблені методи синтезу нових потенційно біоактивних азотовмісних гетероциклів. З 2009 р. по 2025 р. відділом керував член-кореспондент НАН України, доктор хімічних наук, професор, Лауреат Державної премії України в галузі науки і техніки Броварець Володимир Сергійович, який багато уваги приділяв вивченню біоактивності та залежності біоактивності від структури синтезованих у відділі азотовмісних гетероциклічних сполук.
З 2026 року відділ очолює доктор хімічних наук Пільо Степан Григорович.
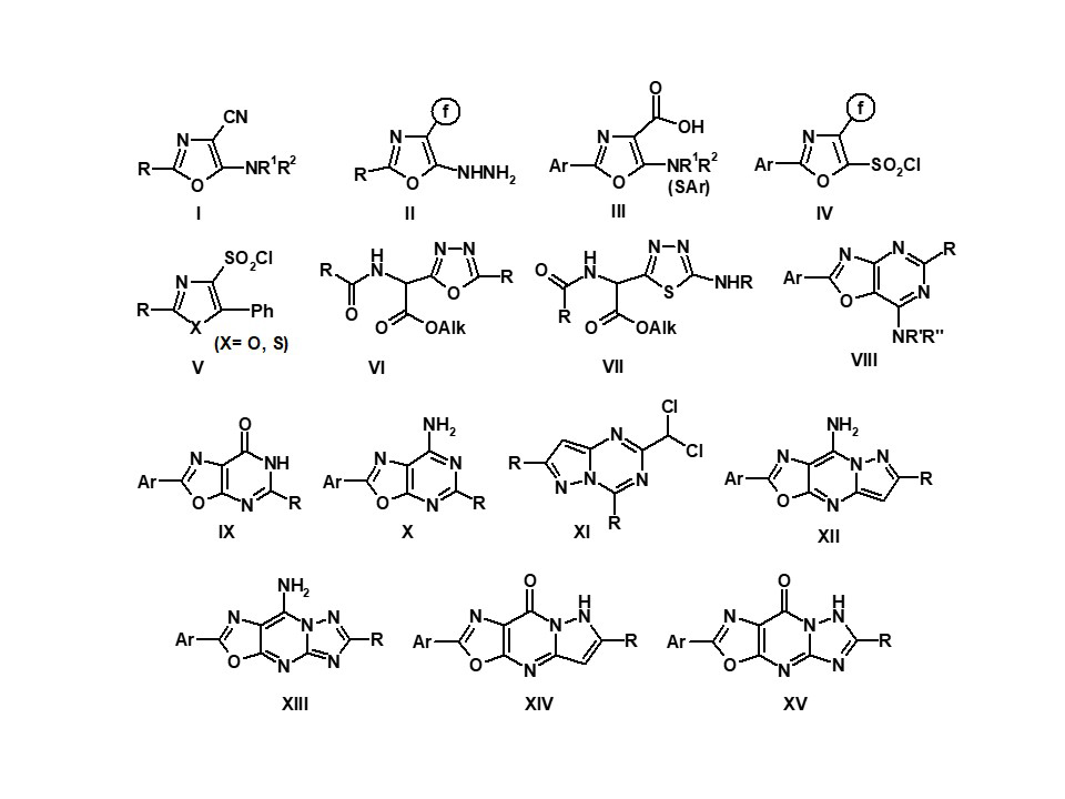
Основні напрями наукової діяльності відділу включають розробку препаративних методів синтезу потенційно біоактивних речовин гетероциклічної природи з метою пошуку ефективних протипухлинних, противірусних, судинорозширювальних препаратів, інгібіторів ферментів, пестицидів, регуляторів росту рослин та ін. Для досягнення цієї мети наукові співробітники відділу використовують оригінальні ациклічні реагенти для синтезу п’яти- та шестичленних азотовмісних гетероциклів та їх конденсованих похідних, які містять різноманітні азото-, сірко- та фосфоровмісні фармакофорні угруповання у різних положеннях гетероциклічної системи. Використовуються методи тонкого органічного синтезу, спектральні та рентгеноструктурні дослідження, а також біологічні тестування синтезованих сполук фахівцями нашого Інституту та інших науково-дослідних установ. У відділі проводяться фундаментальні дослідження електронних та спектральних властивостей азотовмісних гетероциклів, зокрема, їх взаємодії з біологічно активними центрами біологічних мішеней, а також квантово-хімічне моделювання біологічних процесів на молекулярному рівні. Перспективним напрямом діяльності відділу є пошук нових ефективних та екологічно безпечних регуляторів росту рослин на основі синтетичних п’яти- та шестичленних гетероциклічних сполук з перспективою їх впровадження в практику сільського господарства для покращення росту та розвитку комерційно важливих культур рослин, підвищення їх врожайності, посилення імунозахисних властивостей рослин від грибкових, бактеріальних, вірусних захворювань та паразитичних організмів при скороченні використання високотоксичних хімічних засобів захисту, підвищення стійкості рослин до стресових факторів абіотичного походження (посухи, засоленості ґрунтів, екстремальних температур, високої інтенсивності сонячного опромінення та дефіциту поживних речовин).




Pavlo V. Melnychuk et al. Organic Letters 2025 27 (23), 6174-6178.

Yevhen O. Zaika et al. EurJOC. 2025, 28, 18. doi: 10.1002/ejoc.202500093











IN VITRO АКТИВНІСТЬ НОВИХ ПІРИМІДИНІВ ТА ЇХ КОНДЕНСОВАНИХ ПОХІДНИХ ПРОТИ ПОЛІОВІРУСУ


















Розроблено, синтезовано та досліджено 12 нових тіазолвмісних похідних 5-фтор-1,3-дигідро-2Н-індол-2-ону як аналогів Сунітинібу та вивчено їх протипухлинну активність проти ракових клітинних ліній NCI-60.

На основі результатів комп'ютерного прогнозування та отриманих експериментальних даних запропоновано низку 2-оксоімідазолідин-4-сульфонамідів як нових фунгіцидів для боротьби з Phytophthora infestans сільськогосподарських рослин. Результати випробувань засвідчили низький рівень ризиків використання цих сполук для екосистеми та здоров'я людини у порівнянні з відомими класами протипаразитарних засобів рослин.

Отримано низку нових 8-аміно-6-(2-R-тіазол-4-іл)-1,7-нафтиридинів – раніше недоступних гетероциклічних похідних з перспективною біологічною активністю.

Досліджено вплив низькомолекулярних синтетичних азагетероциклічних сполук на ріст та розвиток різних сортів рослин пшениці, ячменю, кукурудзи, сорго, гороху та сої при вегетації за нормальних умов та при абіотичних стресах. Відібрано найактивніші сполуки і для практичного використання в сільському господарстві запропоновано N-оксид-2,6-диметилпіридину, натрієву та калієву солі 6-метил-2-меркапто-4-гідроксипіримідину, похідні тіоксопіримідину та фуропіримідину.

Синтезовано нові похідні 3-азабіцикло[3.2.0]гептанів за допомогою міжмолекулярної гетероциклізації при довжині хвилі 365 нм. Сполука 6, яка синтезована за схемою, проявила значну активність проти BK-virus. У порівнянні з цидофовіром – відомим противірусним агентом – сполука 6 показала у 25 раз менше значення EC50 та у 4 рази більше значення SI50. Ці дані підтверджують значний потенціал азабіциклічних сполук у майбутніх дослідженнях з медичної хімії.

На основі 3-форміл та 3-ацетилізокумарину 1,6 синтезовано нові піразиноізохінолони 5,7,8, які цікаві через можливість їх подальших перетворень, зокрема, реакцій відновлення 9,10 та пошуку серед них біологічно активних речовин.

Розроблена стратегія синтезу заміщених 1-аміноізохінолінів з гетероциклічними замісниками в положенні 3, яка полягає у перетворенні ізокумарину 1 за допомогою ланцюга перетворень 1-2-3-4,5. Показано вплив гетероциклічного замісника на протиракову активність досліджуваних сполук. За даними COMPARE аналізу подібність профілю активності досліджуваних сполук найбільше корелює з відомим протипухлинним препаратом тамоксифеном.

Синтезовано 2-спіро-3-азахроманони та показано, що за результатами біологічних випробувань сполука 3 має значний протипухлинний потенціал. Зокрема, розширений п’ятидозовий скринінг сполуки 3е продемонстрував мілімолярну активність проти ракових клітин. Тобто, можна стверджувати, що це “молекула-хіт”, яка після виявлення мішені може стати кандидатом у лікарські засоби.

Досліджено вплив функціоналізованих похідних піридину та піримідину на ріст та розвиток різних сортів рослин пшениці, ячменю, сорго та квасолі протягом періоду вегетації у лабораторних умовах, а також на урожайність рослин пшениці у польових умовах. Відібрано у процесі скринінгу за морфометричними та біохімічними показниками рослин найактивніші синтетичні сполуки, які виявляють подібний з фітогормонами, ауксинами та цитокінінами рістрегулюючий ефект. Підібрано оптимальні фізологічно активні концентрації низькомолекулярних азагетероциклічних сполук та проведено аналіз взаємозв’язку між хімічною структурою та біологічною активністю досліджених синтетичних сполук.

Синтезовано нову серію 4-арилсульфоніл-1,3-оксазолів та досліджено їх протиракову активність. Серед них найбільш ефективними виявились сполуки D14, D23 і D27, які продемонстрували активність проти різних ліній ракових клітин, що дає можливість розглядати їх як кандидати для подальших поглиблених досліджень.

Вперше використано 2-аліламіно-3,3-дихлороакрилонітрил в фотоініційованому внутрішньомолекулярному [2+2]-циклоприєднанні, що привело до утворення N-Вос-захищеного 5,5дихлоро-2-азабіцикло[2.1.1]гексан-1-карбонітрилу – унікального представника 2-азабіцикло[2.1.1]гексанів з нітрильною групою та дихлорометиленовим фрагментом.

Синтезовано нові похідні 4-іміногідантоїнсульфаміду при послідовній дії на амінодихлороакрилонітрил хлорсульфонілізоціанату та амінів. Вивчено їх антивірусну активність in vitro проти цитомегаловірусу людини (HCMV). Біотести показали, що чотири сполуки виявляють вищу противірусну активність (EC50: 0,15-0,21 мкМ) проти нормального лабораторного HCMV (штам AD-169), порівняну з активністю ганцикловіру (EC50: 0,11-0,39 мкМ).

Досліджено вплив регуляторів росту рослин на основі N-оксид-2,6-диметилпіридину, натрієвої і калієвої солей 6-метил-2-меркапто-4-гідроксипіримідину, похідних фуранопіримідину та тієнопіримідину на ріст і розвиток рослин (пшениці, ячменю, сорго, жита, соняшнику, гороху, нуту, ріпаку, льону та квасолі) впродовж періоду вегетації, а також на частоту Agrobacterium-опосередкованої трансформації рослин томату. Проведено аналіз взаємозв’язку між хімічною структурою та біологічною активністю досліджених синтетичних сполук, яка була видо- та сорто-специфічною. Запропоновано практичне використання досліджених сполук в сільському господарстві для покращення росту рослин та у біотехнології для поліпшення мікроклонального розмноження рослин

Розроблено зручну методику синтезу нового класу гідантоїнових сульфамідів взаємодією амінодихлороакрилонітрилу з хлорсульфонілізоціанатом. Дослідження противірусної та протиракової активності синтезованих сполук переконливо демонструє визначальний вплив замісників у базовій структурі на тип та рівень біологічної активності і дає підстави сподіватися, що результати цієї роботи будуть корисними для подальших досліджень у цьому напрямку.

Взаємодією дихлороакрилонітрилів з 5-амінопіразолами синтезовані нові представники 2-дихлорометилзаміщених похідних піразоло[1,5-a]-[1,3,5]триазину. При вивченні їх протиракової активності виявлено, що природа замісника у положенні 4 відіграє вирішальну роль в протипухлинній дії цих сполук. Так, похідні з арильним замісником при С-4 є надзвичайно активними. Крім того, важливим є той факт, що арильний замісник і піразолотриазинова система знаходяться в одній площині, що було доведено за допомогою РСА. Критичним для прояву протиракової активності цих речовин є наявність дихлорометильної групи в положенні 4 біциклу.

Досліджено трикомпонентну циклізацію метилових естерів 4-(о-гідроксифеніл)-2,4-діоксобутанових кислот 1,N-заміщених ізатинів 2 та первинних амінів 3, що веде до утворення 2Н-спіро[хромено[2,3-c]пірол-1,3'-індолін]-2',3,9-трионів, фрагменти яких широко представлені серед природних біоактивних сполук, зокрема, у складі алкалоїдів. В ході досліджень було знайдено, що вказана трикомпонентна гетероциклізація є універсальним та ефективним інструментом синтезу вказаної гетероциклічної системи. На основі естерів діоксобутанових кислот (виділених на слайді червоним кольором), ізатинів із алкільними, алільним та бензильними замісниками в положенні 1 (синій колір), а також широкого набору різноманітних аліфатичних амінів (зелений колір) було створено комбінаторну бібліотеку з 122 похідних, з виходами, які перевищували 70%.

Показано, що взаємодія 1-арил-2-азатетрахлор-1,3-бутадієнів з 2-(амінометил)імідазолом відбувається шляхом регіоселективного анелювання до імідазольного ядра триазепінового циклу з утворенням перших представників нової гетероциклічної системи 5Н-імідазо[1,2-e][1,3,5]триазепіну з високими виходами, які містять у своєму складі 2 фармакофорних фрагмента – імідазолу та триазепіну. Їх утворення відбувається через ряд проміжних продуктів та прототропних форм, які представлені на схемі.

Синтезовано ряд нових заміщених 5-гідроксиалкіламіно-1,3-оксазолів з метою дослідження противірусної дії та цитотоксичності in vitro. Вони були протестовані на активність проти цитомегаловірусу людини (HCMV). Результати тестів показали, що речовини 9 та 15 виявили помірну противірусну активність щодо нормального лабораторного штаму HCMV (AD169) у клітинах HFF. Подальші функціональні модифікації цих сполук можуть привести до розробки нових похідних 5-гідроксиалкіламіно-1,3-оксазолів з більш високою анти-HCMV активністю.

Досліджено вплив натрієвої та калієвої солей 6-метил-2-меркапто-4-гідроксипиримідину (Метіуру та Kаметуру), N-оксид-2,6-диметилпіридину (Івіну), імідазо[1,2-а]піримідину, оксазолу та [1,3]оксазоло[5,4-d]піримідину на ріст та розвиток різних сортів рослин ячменю, нуту, соняшника та сорго. Встановлено, що за умов обробки насіння рослин водними розчинами вказаних сполук при мікромолярних та субмікромолярних концентраціях значно поліпшуються фізіологічні показники (висота рослин, довжина та кількість коренів), біохімічні показники (вміст фотосинтетичних пігментів), зростають показники урожайності рослин (біомаса рослин, довжина волоті та маса зерна). Запропоновано практичне використання синтетичних сполук для передпосівної обробки насіння вказаних культур для поліпшення їх росту та підвищення продуктивності.

На основі сульфонілзаміщених аміноакрилонітрилів 1 та галогенізоціанатів розроблено препаративні методи синтезу конденсованих похідних піримідину – імідазо[1,2-c]піримідину та піримідо[1,6-a]-піримідину, структура яких надійно доведена за допомогою РСА. Синтезовані речовини виявилися активними по відношенню до ВК вірусу та папіломавірусу, які за кількісними параметрами близькі або значно перевищують показники препарату порівняння “Цидофовір”

Розроблено ефективний метод одержання гідроксильованих гомоізофлавоноїдів та 3-гетарилметилхромонів – аналогів природних сполук. Цей підхід дозволяє уникнути багатоступеневих стадій їх синтезу і не потребує захисту гідроксильних груп



Показано, що взаємодія 2-арил-5-(хлоросульфоніл)-1,3-оксазол-4-карбоксилатів з аміноазолами відбувається регіоселективно по ендоциклічному атому азота. При подальшій дії на утворенні продукти гідриду натрію через перегрупування Смайлса отримано невідомі раніше похідні оксазолопіразолопіримідину та оксазолотриазолопіримідину

Синтезовано нові похідні оксазолу, які містять у положенні 4 нітрильну групу, а в положенні 5 арилсульфонільну. Серед них виявлено “сполуки-лідери”, які володіють значною протипухлинною активністю по відношенню до ліній ракових клітин, які представлені на слайді, та перевищують показники відомих протипухлинних препаратів – тамоксифену, бісульфану, кризотинібу та акалабрутинібу.

На основі доступних етоксиакрилонітрилів синтезовано нові піримідини та їх конденсовані похідні. Вони є нетоксичними сполуками з інгібіторним ефектом проти поліовірусу-3 in vitro. Найбільш активна серед них, сполука А, інгібує вірусну проліферацію і цитопатичну активність з меншою ефективністю, ніж піродaвір, але має більший індекс селективності, що вказує на перспективність пошуку антивірусних сполук серед досліджуваних похідних піримідинів.

Розроблено на основі синтетичних низькомолекулярних гетероциклічних сполук, похідних піримідину та піразолу нові регулятори росту рослин (квасолі, томату, гороху, перцю, кукурудзи, пшениці, редису та моркви). Встановлено, що рістрегулююча активність синтетичних сполук, застосованих у концентраціях 10-7M - 10-9М, дорівнюється, або перевищує активність фітогормонів ауксинів ІОК та НОК, що пояснюється стимулюючим впливом цих сполук на процеси розтягнення, проліферації та диференціації клітин, активізацію фотосинтетичних процесів та білкового синтезу, а також підвищення активності ферменту каталази у клітинах рослин. Внаслідок цих процесів відбувається прискорення і покращення росту та розвитку рослин.

Розроблено метод синтезу 6- та 8-гідрокси(алкокси)метильних похідних 7-гідроксифлавоноїдів, які проявляють високу антипроліферативну активність. Запропоновано використання 8-заміщених 7-гідроксифлавоноїдів в гетеро-реакції Дільса-Альдера з метою модифікації флавоноїдів 
На сьогоднішній час отримані численні похідні природного алкалоїду цитизину з різними гетероциклічними фрагментами: кумарину, 1,2,3-триазолу, 1,2,4-тіадіазолу, 1,3,4-тіадіазолу. Ці сполуки мають широкий спектр біологічної активності. Нами вперше синтезовані функціональні похідні цитизину (4-6), які містять фармакофорний 1,3-оксазольний фрагмент. Вихідними реагентами були доступні 1-ациламіно-2,2-дихлороакрилонітрили (1) та споріднені фосфоровмісні реагенти (2,3). Сполуки (4-6) є перспективними з точки зору пошуку протизапальних, антимікробних, інсектицидних та ін. препаратів.

Вперше показано, що при гідразинолізі похідних 5-аміно-4-ціано-1,3-оксазолу (1), які містять у положенні 2 фталімідопропільний фрагмент, відбувається рециклізація, яка приводить до утворення нових гідрованих 3-амінопіроло[1,2-a]імідазол-2-карбоксамідів (2). Останні були використані для синтезу піролопуринонів (3) – аналогів відомих біологічно активних речовин (4-6).

На основі синтетичних п’яти та шестичленних низькомолекулярних гетероциклічних сполук похідних класів піримідинів, піразолотриазинонів, оксазолів, оксазоло-пірімідинів та N-сульфоніл заміщених оксазолів розроблено нові ефективні екологічно безпечні регулятори для прискорення та покращення росту та розвитку рослин (огірки, томати, кукурудза, горох, ячмінь, пшениця, льон та ріпак). Встановлено, що активність цих сполук є подібною, або перевищує активність природних та синтетичних регуляторів росту (ІОК, НОК, Кинетин).

На основі доступних діетилових естерів 1-ациламіно-2,2,2-трихлороетилфосфонових кислот (3) синтезовано нові похідні 1,3-оксазол-4-ілфосфонових кислот (4), що містять в положенні 5 оксазольного кільця залишки різних фармакофорних аміноспиртів. Останні були використані для синтезу нових фосфорильованих пептидоміметиків (5,6), які містять залишки спиртів та є потенційними біологічно активними речовинами.


Розроблено на основі синтетичних п’яти- та шестичленних низькомолекулярних гетероциклічних сполук (похідні піридинів, піримідинів, піразолотриазинонів, ізофлавоноїдів, оксазолів, оксазоло-пірімідинів та N-сульфоніл заміщених оксазолів) нові ефективні екологічно безпечні регулятори для прискорення та покращення росту та розвитку рослин (горох, кукурудза, томати, огірки, льон та гарбуз), що виявляють активність, яка дорівнюється або перевищує активність природних та синтетичних регуляторів росту (ІОК, НОК, Кинетин).

Розроблено препаративний метод синтезу 1,3-оксазол-5-сульфонілхлоридів, які містять в положенні 4 нітрильну групу. Для цього були використані доступні дихлороакрилонітрили (1), які спочатку були перетворені у 5-меркаптопохідні оксазолів (2) та (3). Хлорування останніх дало відповідні сульфонілхлориди (4) з високими виходами. Взаємодія продуктів (4) з амідином супроводжується перегрупуванням Смайлса, що приводить до утворення біциклічних сполук – оксазолопіримідинів (5), які є ізостерами пуринових основ.

Відповідно до договору з Національним Інститутом алергічних та інфекційних хвороб США досліджувалася противірусна активність синтезованих речовин. Серед них виявлено сполуки-лідери – це аміносульфонільні похідні оксазолу та тіазолу, які виявилися активними проти вірусу папіломи людини. На слайді представлено по три найактивніших представники таких структур. При аналізі кореляції структура-дія було встановлено, що для 4‑аміносульфонільних похідних оксазолу та тіазолу є наявність у 2 та 5 положеннях арильних замісників. Крім того, важливим є введення до сульнонільної групи піперидинового фрагменту або первинної аміногрупи. Для цих сполук був розрахований хіміотерапевтичний індекс, який є на порядок вищий за препарат порівняння – цидофовір. Таким чином, нами знайдені нові класи речовин з противірусною активністю. Отримані результати спонукають до їх подальшого дослідження.
Проведено скринінг похідних п’яти і шестичленних азотистих гетероциклів як нових ефективних стимуляторів росту та розвитку рослин. Відібрано біологічно активні хімічні сполуки, похідні класів піридинів, піримідинів, ізофлавоноїдів, оксазолів, N-заміщених сульфамідів, які прискорюють ріст та розвиток ряду сільськогосподарських культур (кукурудзи, пшениці, сої, гарбуза, квасолі та льону) протягом онтогенезу in vivo та в культурах ізольованих клітин рослин in vitro. За специфічними біотестами на фітогормональну активність встановлено, що хімічні сполуки у діапазоні концентрацій 10-8М-10-10М у водному розчині виявляють високу стимулюючу ріст та розвиток рослин активність, яка дорівнюється або перевищує активність природних регуляторів росту та їх синтетичних аналогів ауксинів та цитокінінів: 3-індолілоцтової кислоти (ІОК), 1-нафтилоцтової кислоти (НОК) та кінетину. Отримані дані свідчать про можливість використання відібраних класів низькомолекулярних гетероциклічних сполук як нових ефективних регуляторів росту рослин у практиці сільського господарства та біотехнології.



керівник групи д.х.н. О.В.Головченко, д.х.н. Л.М. Потіха, PhD М.Ю. Бруснаков, асп. О.С. Багрєєва

керівник групи д.б.н. В.А. Циганкова, асп. Н.В. Василенко, к.б.н. В.Копіч


керівник групи д.х.н. О.Д. Качковський, асп. У.В. Матвієнко, асп. І.Ю. Несторак, асп. Я.А. Мельник



Керівник групи д.х.н. С.Г. Пільо, к.х.н. Б.А. Демидчук, к.х.н. М.В. Качаєва, асп. Є.Б. Вальтер, асп. Є.Ю. Рибіна, асп. О.Тімохін, асп. К. Печенюк

Керівник групи к.х.н. Р.М. Виджак, к.х.н. С.Я. Панчишин, асп. А.О. Вареник, асп. Д.Р. Хомин

Керівник групи к.х.н. В.О.Синенко, к.х.н. Р.М. Соломянний, асп. О.В. Лось

Керівник групи к.х.н. О.В.Шабликін, аспіранти М. Биков, В. Голубничий, Т. Савчук
Особлива увага у відділі приділяється омолодженню колективу наукових працівників. У відділі здійснюється підготовка наукових кадрів вищої кваліфікації через аспірантуру за денною формою навчання за спеціальностями 102 «Хімія» та 091 «Біологія та біохімія» відповідно до отриманих ліцензій та акредитованих освітньо-наукових програм. За звітний період чисельність здобувачів ступеня доктора філософії, керівниками яких є співробітники відділу та які входять до складу групи з забезпечення освітнього процесу Інституту, зростала: 2018 р. – 6 аспірантів, 2019 р. – 11 аспірантів, 2020 р. – 15 аспірантів, 2021 р. – 17 аспірантів, 2022 р. – 19 аспірантів, 2023 р. – 25 аспірантів. Після закінчення аспірантури переважна більшість випускників залишається працювати у відділі, поповнюючи кадровий склад молодими фахівцями.
Науково-педагогічний персонал відділу № 2 забезпечує навчальний процес з підготовки здобувачів вищої освіти ступеня доктора філософії за спеціальностями 102 «Хімія» та 091 «Біологія та біохімія». Завідувач відділу д.х.н., проф. Володимир Броварець є гарантом акредитованої освітньо-наукової програми «Біоорганічна хімія; нафтохімія і вуглехімія» (спеціальність 102 «Хімія»).
За період з 2016 по 2024р. 14 студентів вищих навчальних закладів проходили стажування та переддипломну практику у відділі та успішно захистили магістерські дипломні роботи, з яких 5 магістрантів зараз навчаються в аспірантурі Інституту. Також у відділі підвищували кваліфікацію 6 наукових співробітників і викладачів закладів вищої освіти МОН України.
На даний час у відділі працюють 33 співробітники, у тому числі 5 докторів наук і 22 кандидатів наук/докторів філософії. Середній вік дослідників відділу становить 44 роки.
ЗАЇКА ЄВГЕН ОЛЕКСАНДРОВИЧ - СИНТЕЗ, РЕАКЦІЙНА ЗДАТНІСТЬ ТА ВЛАСТИВОСТІ Α,Β-НЕНАСИЧЕНИХ СУЛЬТАМІВ - 2025р.

МЕЛЬНИЧУК ПАВЛО ВОЛОДИМИРОВИЧ - СИНТЕЗ НОВИХ ФОСФОРОЗАМІЩЕНИХ ПІРОЛІДИНІВ - 2025р.

ГОЛОВЧЕНКО ОЛЕКСАНДР ВОЛОДИМИРОВИЧ - НОВІ 4-ФОСФОРИЛЬОВАНІ 1,3-ОКСАЗОЛИ ТА ФОСФОНОПЕПТИДОМІМЕТИКИ НА ЇХ ОСНОВІ – 2025р.

ПІЛЬО СТЕПАН ГРИГОРОВИЧ - СИНТЕЗ НОВИХ ФУНКЦІОНАЛЬНОЗАМІЩЕНИХ 1,3-АЗОЛІВ ТА АЗОЛОАЗИНІВ ЯК ПОТЕНЦІЙНИХ ПРОТИРАКОВИХ І ПРОТИВІРУСНИХ АГЕНТІВ - 2025 р.


Мержиєвський Данило Олександрович – СИНТЕЗ НОВИХ 5-АМІНО-1,3-ОКСАЗОЛ-4-КАРБОНІТРИЛІВ ТА ДОСЛІДЖЕННЯ ЇХ ВЛАСТИВОСТЕЙ – 2024 р.
Бруснаков Михайло Юрійович – СИНТЕЗ ТА ВЛАСТИВОСТІ НОВИХ 4-ФОСФОРИЛЬОВАНИХ 1,3-ОКСАЗОЛІВ – 2023 р.
Малець Єгор Сергійович – СИНТЕЗ І БІОЛОГІЧНА АКТИВНІСТЬ ПОХІДНИХ 5-, 7-, ТА 8-АЗАХРОМОНІВ – 2023 р.
Скаленко Євген Олександрович – ФОТОХІМІЧНИЙ СИНТЕЗ ПОХІДНИХ АЗАБІЦИКЛО[3.2.0]¬ГЕПТАНІВ ТА АЗАБІЦИКЛО[4.2.0]ОКТАНІВ І ДОСЛІДЖЕННЯ ЇХ ВЛАСТИВОСТЕЙ – 2023 р.
Коноваленко Артем Сергійович – 3-АЦИЛ(АЗА)ІЗОХРОМОНИ В СИНТЕЗІ НОВИХ БІОАКТИВНИХ ГЕТАРИЛЗАМІЩЕНИХ ТА ГЕТЕРОКОНДЕНСОВАНИХ АЗИНІВ – 2023 р.
Білецька Ірина Михайлівна – СИНТЕЗ ТА ВЛАСТИВОСТІ 2-(3,3,3-ТРИФЛУОРОАЦЕТОНІЛ)ХРОМОНІВ – 2023 р.
Савич Олена Володимирівна – СИНТЕЗ ТА ДОСЛІДЖЕННЯ БІОЛОГІЧНИХ ВЛАСТИВОСТЕЙ НОВИХ ПОХІДНИХ 3-АМІНО-1,2,4-ТРИАЗОЛУ ТА 5-АМІНОТЕТРАЗОЛУ – 2023 р.
Велігіна Євгенія Сергіївна – СИНТЕЗ ТА ВЛАСТИВОСТІ НОВИХ ОКСАЗОЛО[4,5-D]ПІРИМІДИНІВ ТА ПІРАЗОЛО[1,5-А][1,3,5]ТРИАЗИНІВ – 2021 р.
Корній Юрій Євгенович – СИНТЕЗ НОВИХ ІМІНОГІДАНТОЇНОВИХ ПОХІДНИХ З ПРОТИВІРУСНОЮ ТА ПРОТИРАКОВОЮ АКТИВНІСТЮ – 2021 р.
Фрасинюк Михайло Сергійович – ХІМІЧНИЙ ДИЗАЙН БІОЛОГІЧНО АКТИВНИХ СПОЛУК НА ОСНОВІ ІЗОФЛАВОНОЇДІВ, АУРОНІВ ТА КУМАРИНІВ – 2021 р.
Штомпель Олександра Ігорівна – ПОШУК РЕГУЛЯТОРІВ РОСТУ РОСЛИН СЕРЕД ПОХІДНИХ П’ЯТИ- ТА ШЕСТИЧЛЕННИХ АЗАГЕТЕРОЦИКЛІВ – 2019 р.
Соломянний Роман Миколайович – СИНТЕЗ БІОАКТИВНИХ ГЕТЕРОЦИКЛІЧНИХ СПОЛУК З СІРКО- ТА ФОСФОРОВМІСНИМИ ГРУПАМИ НА ОСНОВІ ФУНКЦІОНАЛІЗОВАНИХ ЕНАМІНІВ – 2019р.

Качаєва Марина Володимирівна – СИНТЕЗ ТА ВЛАСТИВОСТІ НОВИХ БІОАКТИВНИХ ПОХІДНИХ 1,3-ОКСАЗОЛУ – 2019 р.
Синенко Віталій Олегович – ОДЕРЖАННЯ НОВИХ БІОЛОГІЧНО АКТИВНИХ 1,3-ТІАЗОЛІВ З ВИКОРИСТАННЯМ ЛІТІЮЮЧИХ АГЕНТІВ – 2018р.

Попова Антоніна Валеріївна – СИНТЕЗ ТА ВЛАСТИВОСТІ АНАЛОГІВ ПРИРОДНИХ АУРОНІВ – 2018р.

Абдурахманова Есма Рустемівна – СИНТЕЗ ТА ВЛАСТИВОСТІ НОВИХ 4-ФОСФОРИЛЬОВАНИХ 5-(ГІДРОКСИАЛКІЛ)АМІНО-1,3-ОКСАЗОЛІВ – 2017р.

Корнієнко Андрій Миколайович – СИНТЕЗ І ВЛАСТИВОСТІ НОВИХ 1,3-АЗОЛСУЛЬФОНІЛАМІДІВ – 2015р.
Гуренко Артем Олегович – ВЛАСТИВОСТІ ПІРАЗОЛО[3,4-d][1,2,3]ТРИАЗИН-4-ОНІВ ТА ПРОДУКТІВ ЇХ ПЕРЕТВОРЕНЬ – 2015р.
Лукашук Олена Іванівна – СИНТЕЗ НОВИХ ФОСФОРИЛЬОВАНИХ ПЕПТИДОМІМЕТИКІВ НА ОСНОВІ ПОХІДНИХ 1,3-ОКСАЗОЛУ – 2015р.
Мруг Галина Петрівна – СИНТЕЗ І ВЛАСТИВОСТІ НОВИХ АМІНОМЕТИЛЬНИХ ПОХІДНИХ ІЗОФЛАВОНІВ – 2015р.
Чумаченко Світлана Анатоліївна – СИНТЕЗ І ВЛАСТИВОСТІ НОВИХ АЗОТИСТИХ ГЕТЕРОЦИКЛІВ НА ОСНОВІ 2-АЛКІЛОКСИ-КАРБОНІЛАМІНО- ТА 2-АЛКАНОЇЛАМІНО-3,3-ДИХЛОРОАКРИЛОНІТРИЛІВ – 2013р.
Кондратюк Костянтин Михайлович – СИНТЕЗ ТА ВЛАСТИВОСТІ НОВИХ ФУНКЦІОНАЛІЗОВАНИХ ПОХІДНИХ 1,3-ОКСАЗОЛ-4-ІЛФОСФОНОВОЇ КИСЛОТИ – 2013р.
Туров Костянтин Володимирович – СИНТЕЗ І ВЛАСТИВОСТІ НОВИХ ДИ- ТА ТРИФУНКЦІОНАЛЬНОЗАМІЩЕНИХ 1,3-ТІАЗОЛІВ – 2012р.
Прокопенко Володимир Михайлович – СИНТЕЗ І ВЛАСТИВОСТІ 5-N- ТА 5-S-ЗАМІЩЕНИХ ПОХІДНИХ 1,3-ОКСАЗОЛ-4-КАРБОНОВОЇ КИСЛОТИ – 2011р.
Демидчук Богдан Андрійович – НОВІ ПЕРЕТВОРЕННЯ ХЛОРОВМІСНИХ ЕНАМІДІВ ТА 2-АЗА-1,3-ДІЄНІВ У ПОХІДНІ АЗОТИСТИХ ГЕТЕРОЦИКЛІВ – 2009р.
Шабликін Олег Валентинович – СИНТЕЗИ ПОХІДНИХ 5-АМІНО- ТА 5-ГІДРАЗИНО-1,3-ОКСАЗОЛІВ З ПОТЕНЦІЙНИМИ БІОРЕГУЛЯТОРНИМИ ВЛАСТИВОСТЯМИ – 2008р.
Сливчук Сергій Ростиславович – СІРКОВМІСНІ ПОХІДНІ АЦЕТО- ТА АКРИЛОНІТРИЛІВ В СИНТЕЗАХ БІОРЕГУЛЯТОРІВ ГЕТЕРОЦИКЛІЧНОЇ ПРИРОДИ – 2008р.
Свиріпа Віталій Миколайович – НОВІ ПЕРЕТВОРЕННЯ 2-АРИЛ-4-ДИХЛОРОМЕТИЛЕН-5(4Н)-ОКСАЗОЛОНІВ ТА ЇХ АНАЛОГІВ – 2007р.
Попільніченко Сергій Валентингович – ГЕТЕРОЦИКЛІЗАЦІЇ β-ХЛОРОЗАМІЩЕНИХ ЕНАМІДОНІТРИЛІВ З N - і S - НУКЛЕОФІЛАМИ – 2007 р.
Белюга Олександр Григорович – СИНТЕЗИ БІОАКТИВНИХ ПОХІДНИХ АЗОТИСТИХ ГЕТЕРОЦИКЛІВ НА ОСНОВІ АМІДОФЕНАЦИЛЮЮЧИХ РЕАГЕНТІВ – 2006р.
Головченко Олександр Володимирович – СИНТЕЗИ НОВИХ БІОРЕГУЛЯТОРІВ АЗОЛЬНОГО РЯДУ НА ОСНОВІ 4,5-ДИФУНКЦІОНАЛЬНОЗАМІЩЕНИХ ОКСАЗОЛІВ – 2004р.
Пільо Степан Григорович – СИНТЕЗИ НОВИХ ПОХІДНИХ АЗОЛІВ НА ОСНОВІ 2-АЦИЛАМІНО-3,3-ДИХЛОРАКРИЛОНІТРИЛІВ ТА ЇХ АНАЛОГІВ – 2002р.
Панчишин Світлана Ярославівна – ФОСФОНІЄВІ ІЛІДИ З АЗОТОВМІСНИМИ ГРУПАМИ – ПЕРСПЕКТИВНІ РЕАГЕНТИ ДЛЯ ГЕТЕРОЦИКЛІЗАЦІЙ – 2001р.
1. Tang B., Frasinyuk M.S., Chikwana V.M., Mahalingan K.K., Morgan C.A., Segvich D.M., Bondarenko S.P., Mrug G.P., Wyrebek P., Watt D.S., DePaoli-Roach A.A., Roach P.J., Hurley T.D. Discovery and Development of Small-Molecule Inhibitors of Glycogen Synthase. J. Med. Chem. 2020, 63, 7, 3538–3551. https://doi.org/10.1021/acs.jmedchem.9b01851.
2. Abdurakhmanova E.R., Brusnakov M.Y., Golovchenko O.V., Pilyo S.G., Velychko N.V., Hariden E.A., Prichard M.N., James S.H., Zhirnov V.V., Brovarets V.S. Synthesis and in vitro anticitomegalovirus activity of 5-hydroxyalkylamino-1,3-oxazoles derivatives. Med. Chem. Res. V.29, N 9. 2020. https://doi.org/10.1007/s00044-020-02593-6
3. Gorgulla C., Boeszoermenyi A., Wang Z., Fischer P.D., Coote P.W., Padmanabha D.K.M, Malets Y.S., Radchenko D.S., Moroz Y.S., Scott D.A., Fackeldey K., Hoffmann M., Iavniuk I.,Wagner G., Arthanari H. An open-source drug discovery platform enables ultra-large virtual screens. Nature V. 580. 2020. https://doi.org/10.1038/s41586-020-2117-z
4. Grygorenko O.O., Moskvina V.S., Hryshchuk O.V., Tymtsunik A.V. Cycloadditions of alkenylboronic derivatives. Synthesis 2020. V.52.https://doi.org/10.1055/s-0040-1707159. 
5. Trush M.M., Kovalishyn V.M., Hodyna D.M., Holovchenko O.V, Chumachenko S.A., Tetko I.V., Brovarets V.S., Metelytsia L.O. In silico and in vitro studies of a number PILs as new antibacterials against MDR clinical isolate Acinetobacter baumannii. Chem. Biol. Drug Des. V.95, 2020. https://doi.org/10.1111/cbdd.13678
6. Velihina Ye., Scattolin T., Bondar D., Pil’o S., Obernikhina N., Kachkovskyi O., Semenyuta I., Caligiuri I., Rizzolio F., Brovarets V., Karpichev Ye., Nolan S.P. Synthesis, in silico and in vitro evaluation of novel oxazolopyrimidines as promising anticancer agents. Helv. Chim. Acta V. 103, N 2. 2020. https://doi.org/10.1002/hlca.202000169
7. Davydenko I.G., Slominskiy Yu.L., Obernikhina N.V., Kachkovsky A.D., Tolmachev A. Infrared Polyene Radical-Cation Derived from 7,8-Dihydrobenzo[c,d]Furo[2,3-f]Indole: Synthesis, Spectra and Nature of Electron Transitions. Chemistry Select V.5. 2020.http://dx.doi.org/10.1002/slct.201904086.
8. Shcherbakova V., Dibchak D., Snisarenko M., Skalenko Ye., Denisenko A.V., Kuznetsova A.S., Mykhailiuk P.K. Bicyclic piperidines via [2+2] photocycloaddition. J. Org. Chem. V.86, N 3. 2021. https://doi.org/10.1021/acs.joc.0c02355. 
9. Slyvchuk S., Pilyo S., Brovarets V., Kartsev V., Angeli A., Pinteala M., Petrou A., Geronikaki A., Supuran C. Chromene-containing aromatic sulfonamides with carbonic anhydrase inhibitory properties. Int. J. Mol. Sci. V.22, N 10. 2021.https://doi.org/10.3390/ijms22105082
10. Zhirnov V.V., Velihina Ye.S., Mitiukhin O.P., Brovarets V.S. Intrinsic drug potential of oxazolo[5,4-d]pyrimidines and oxazolo[4,5-d]pyrimidines. Chem. Biol. Drug Des. V.98, N 4. 2021.https://doi.org/10.1111/cbdd.13911
11. Angeli A., Kartsev V., Petrou A., Pinteala M., Vydzhak R., Panchishin S., Brovarets V., de Luca V., Capasso C., Geronikaki A., Supuran C. New sulfanilamide derivatives in corporating heterocyclic carboxamide moieties as carbonic anhydrase inhibitors. Pharmaceuticals Vol. 14, N 8. 2021.https://doi.org/10.3390/ph14080828
12. Angeli A., Kartsev V., Petrov A., Pinteala M., Brovarets V., Panchishin S., Vydzhak R., Geronikaki A., Supuran C.T. Carbonic anhydrase inhibition with sulfonamides incorporatiny pyrazole- and pyridazinecarboxamide moieties provides examples of isoform-selective inhibitors. Molecules Vol. 26, N 22. 2021.https://doi.org/10.3390/molecules26227023
13. Ostapiuk Yu.V., Shehedyn M., Barabash O.V., Demydchuk B.A., Batsyts S., Herzberer C., Schmidt A. Bromoarylation of methyl 2-chloroacrylate under Meerwein conditions for the synthesis of substituted 3-hydroxyhiophenes. Synthesis Vol. 53, N 3. 2021.https://doi.org/10.1055/s-0040-1719849. 
14. Piryatinski Yu.P., Verbitsky A.B., Dmytruk A., Malynovskyi M.B., Lutsyk P.M., Rozhin A.G., Kachkovsky O.D., Prostota Ya.O., Kurdyukov V.V. Excited state relaxation in cationic pentamethine cyanines studied by time-resolved spectroscopy. Dyes Pigm. V. 193. 2021.https://doi.org/10.1016/j.dyepig.2021.109539. 
15. Navozenko O., Yashchuk V., Kachkovsky O., Gudeika D., Butkute R., Slominskii Yu., Azovskyi V. Aggregate formation of boron-containing molecules in thermal vacuum deposited films. Materials V. 14, N 19. 2021.https://doi.org/10.3390/ma14195615
16. Bashmakova N.V., Shaydyuk Ye.O., Dmytruk A.M., Swiergosz T., Kachkovsky O.D., Belfield K.D., Bondar M.V., Kasprzyk W. Nature of linear spectral properties and fast electronic relaxations in green fluorescent pyrrolo[3,4-c]pyridine derivative. Int. J. Mol. Sci. V. 22, N 11. 2021.https://doi.org/10.3390/ijms22115592
17. Shaydyuk Ye.O., Bashmakova N.V., Dmytruk A.M., Kachkovsky O.D., Koniev S., Strizhak A.V., Komarov I.V., Belfield K.D., Bondar M.V., Babii O. Nature of fast relaxation processes and spectroscopy of a membrane-active peptide modified with fluorescent amino acid exhibiting excited state intramolecular proton transfer and efficient stimulated emission. ACS Omega. V. 6, N 15. 2021.https://doi.org/10.1021/acsomega.1c00193. 
18. O.O. Grygorenko,V.S. Moskvina,I. Kleban,O.V. Synthesis of saturated and partially saturated heterocyclic boronic derivatives. Tetrahedron. V. 104, N 8. 2022.https://doi.org/10.1016/j.tet.2021.132605. 
19. Metelytsia L.O., Hodyna D.M., Semenyuta I.V., Kovalishyn V.V., Rogalsky S.P., Derevianko K.Yu., Brovarets V.S., Tetko I.V. Theoretical and experimental studies of phosphonium ionic liquids as potential antibacterials of MDR Acinetobacter baumannii. Antibiotics V.11, N 4. 2022. https://doi.org/10.3390/antibiotics11040491
20. Brusnakov M., Golovchenko O., Velihina Ye., Liavynets O., Zhirnov V., Brovarets V. Evaluation of anticancer activity of 1,3-oxazol-4-ylphosphonium salts in vitro. Chem. Med. Chem. V.17, N 20. 2022.https://doi.org/10.1002/cmdc.202200319.
21. Frasinyuk M., Chhabria D., Kartsev V., Dilip H., Sirakanyan S.N., Kirubakaran S., Petrou A., Geronikaki A., Spinelli D. Benzothiazole and chromone derivatives as potential ATR kinase inhibitors and anticancer agents. Molecules V.27, N 14. 2022.https://doi.org/10.3390/molecules27144637
22. Waszkowska K., Krupka A., Smokal V., Kharchenko O., Migalska-Zalas A., Frasinyuk M., Wielgosz R., Andrushchak A., Sahraoui B. Correlation between nonlinear optical effects and structural features of aurone-based methacrylic polymeric thin films. Materials V.15, N 17. 2022.https://doi.org/10.3390/ma15176076
23. Moskvina V.S., Kleban I., Hryshchyk O.V., Grygorenko O.O. Synthesis of saturated and partially saturated heterocyclic boronic derivatives. Tetrahedron V.104. 2022.https://doi.org/10.1016/j.tet.2021.132605. 
24. Kornii Yu., Shablykin O., Tarasiuk T., Stepaniuk O., Matvienko V., Aloshyn D., Zahorodniuk N., Sadkova I.V., Mykhailiuk P.K. Fluorinatedaliphatic diazirines: preparation, characterization, and model photolabeling studies. J. Org. Chem. V.88, N 1. 2022.https://doi.org/10.1021/acs.joc.2c02262. 
25. Zhirnov V., Shablykin O., Chumachenko S., Kornii Yu., Keith K. A., Harden E. M., Hartline C. B., James S. H., Kobzar O., Kovalishyn V., Vovk A., Brovarets V. In vitro activity of novel 4-iminohydantoin sulfamide derivatives against human cytomegalovirus. Chem. Papers. V. 78. 2023.https://doi.org/10.1007/s11696-023-03038-1
26. Nizhenkovska I. V., Matskevych K. V., Golovchenko O. I., Golovchenko O. V., Kustovska A. D., Van M. New prospective phosphodiesterase inhibitors: phosphorylated oxazole derivatives in treatment of hypertension. Adv. Pharm. Bull. V.13, N 2. 2023.https://doi.org/10.34172/apb.2023.044
27. Metelytsia L. O., Hodyna D. M., Semenyuta I. V., Kovalishyn V. V., Rogalsky S. P., Derevianko K. Yu., Brovarets V. S., Tetko I. V. Theoretical and experimental studies of phosphonium ionic liquids as potential antibacterials of MDR. Antibiotics. V.11, N 4. 2022.https://doi.org/10.3390/antibiotics11040491
28. Velihina Ye., Gesese R., Zhirnov V., Kobzar O., Bui B., Pilyo S., Vovk A., Shen H., Brovarets V. Design, synthesis and evaluation of the anti-breast cancer activity of 1,3-oxazolo[4,5-d]pyrimidine and 1,3-oxazolo[5,4-d]pyrimidine derivatives. RCS Med. Chem. V.14, N 4. P. 2023.https://doi.org/10.1039/D2MD00377E.
29. Bondar D., Bragina O., Lee Ji Y., Semenyuta I., Jӓrving I., Brovarets V., Wipf P., Bahar I., Karpichev Y. Hydroxamic Acids as PARP-1 Inhibitors: Molecular Design and Anticancer Activity of Novel Phenanthridinones. Helv. Chim. Acta. V.106, N 10. 2023.https://doi.org/10.1002/hlca.202300133
30. Zyabrev V., Pilyo S., Demydchuk B., Kachaeva M., Semenyuta I., Zhirnov V., Velihina Ye., Brovarets V. Synthesis, characterization and in vitro anticancer evaluation of 5-sulfinyl(sulfonyl)-4-arylsulfonyl substituted 1,3-thiazoles. Chem. Med. Chem. V.18, N 14. 2023.https://doi.org/10.1002/cmdc.202300161.
31. Konovalenko A.S., Shablykin O.V., Shablykina O.V., Moskvina V.S., Shishkina S.V., Kozytskyi A.V., Brovarets V.S. Distinctive features of 3-acetyl- and 3-benzoylisocoumarins’ interaction with active primery amines. Chem. Select. V.8, N 37. 2023.https://doi.org/10.1002/slct.202301380.
32. Shaydyuk Ye.O., Bashmacova N.V., Klishevich G.V., Dmytruk A.M., Kachkovsky O.D., Kuziv Ya.B., Dubey I.Ya., Befield K.D., Bondar M.V. Nature of linear spectra; properties and fast relaxations in the excited states and two-photon absorption efficiency of 3-thiazolyl and 3-phenylthiazolyl coumarin derivatives. ACS Omega. V.18, N 12. 2023.https://doi.org/10.1021/acsomega.3c00654. 
33. Nallaparaju J.V., Nikonovich T., Jarg T., Merzhyievskyi D., Aav R., Kananovich D.G. Mechanochemistry – amended barbier reaction as an expedient alternative to Grignar synthesis. Angew. Chem. Int. Edd. V.62, N. 39. 2023.https://doi.org/10.1002/anie.202305775.
34. Hodyna D., Kovalishyn V., Romanenko Ya., Semenyuta I., Blagodatny V., Kachaeva M., Brazhko O., Metelytsia L. Quinoline hydrazine derivatives as new antibacterials against multidrug resistant strains. Chem. Biodiversity V.20. 2023.https://doi.org/10.1002/cbdv.202300839.
35. Dibchak D., Snisarenko M., Mishuk A., Shablykin O., Bortnichuk L., Klymenko-Ulianov O., Kheylik Yu., Sadkova I., Rzepa H.S., Mykhailiuk P.K. General synthesis of 3‐azabicyclo [3.1.1]heptanes and evaluation of their properties as saturated isosteres. Angewandte Chemie. V.135, N 39. 2023. https://doi.org/10.1002/ange.202304246.
36. Kirichok A., Tkachuk H., Kozyriev Ye., Shablykin O., Datsenko O., Granat D., Yegorova T., Bas Yu., Semirenko V., Pishel I., Kubyshkin V., Lesyk D., Klymenko-Ulianov O., Mykhailiuk P.K. 1‐Azaspiro[3.3]heptane as a bioisostere of piperidine. Angewandte Chemie. e202311583. V.135, N 51. 2023.https://doi.org/10.1002/ange.202311583.
37. Chernykh A.V., Kudryk O.V., Olifir O.S., Dobrydnev A.V., Rusanov E., Moskvina V.S., Volochnyuk D.M., Grygorenko O.O. Expanding the chemical space of 1,2-difunctionalized cyclobutanes. J. Org. Chem. V.88, N5. 2023.https://doi.org/10.1021/acs.joc.2c02892. 
38. Chen X., Lv X., Gao L., Liu J., Wang W., Guo L., Frasinyuk M. S., Zhang W., Watt D. S., Liu C., Liu X. Chalcone derivative CX258 suppresses colorectal cancer via inhibiting the TOP2A/Wnt/β-Catenin signaling. Cells. V.12, N 7. 2023. https://doi.org/10.3390/cells12071066.
39. Mrug G., Hodyna D., Metelytsia L., Kovalishyn V., Trokhimenko O., Bondarenko S., Kondratyuk K., Kozitskiy A., Frasinyuk M. Structure-activity relationship prediction-based synthesis and cytotoxicity evaluation against the HEp-2 laryngeal carcinoma cell of isoflavone–cytisine mannich bases. Chem. Biodivers. V.20, N 8. 2023.https://doi.org/10.1002/cbdv.202300560.
40. Myshko A., Mrug G., Kondratyuk K., Demydchuk B., Bondarenko S., Frasinyuk M. An expedient synthesis of functionalized pyrazole-based aurone analogs. Chemistry Select. V.8, N 20. 2023.https://doi.org/10.1002/slct.202300257.
41. Levterov V., Panasyuk Ya., Sahun K., Stashkevich O., Badlo V., Shablykin O., Sadkova I., Bortnichuk L., Klymenko-Ulianov O., Holota Yu., Lachmann L., Borysko P., Horbatok K., Bodenchuk I., Bas Yu., Dudenko D., Mykhailiuk P.K. 2-Oxabicyclo [2.2.2]octane as a new bioisostere of the phenyl ring. Nature Commun. V.14, N 1. 2023. https://doi.org/10.1038/s41467-023-41298-3
42. Goulden T., Bodachivskyi Iu., Padula M.P., Williams D.B.G. Concentrated ionic liquids for proteomics: Caveat emptor! Concentrated ionic liquids for proteomics: Caveat emptor! International Journal of Biological Macromolecules. V.253, N 7. 2023. https://doi.org/10.1016/j.ijbiomac.2023.127438. 
43. Kornii Yu., Shablykin O., Tarasiuk T., Stepaniuk O., Matvienko V., Aloshyn D., Zahorodniuk N., Sadkova I. V., Mykhailiuk P. K. Fluorinatedaliphatic diazirines: preparation, characterization, and model photolabeling studies. J. Org. Chem. V.88, N 1. 2023.https://doi.org/10.1021/acs.joc.2c02262. 
44. Bondar M.V., Faryadras S., Munera N., Chang H.-T., Uddin M., Beldield K.D., Kachkovsky O.D., Van Stryland E.W., Hagan D.J. New two-photon absorbing Squaraine derivative with efficient near-infrared fluorescence, superluminescence, and high photostability. J. Phys. Chem. B. V.126, N 21. 2022.https://doi.org/10.1021/acs.jpcb.2c01288. 
45. Denisenko A., Garbuz P., Makovetska Ye., Shablykin O., Lesyk D., Al-Maali G., Korzh R., Sadkova I., Mykhailiuk P. 1,2-Disubstituted bicyclo[2.1.1]hexanes as bioisosteres of the ortho-substituted benzene. Chem. Sci. V. 14. 2023. https://doi.org/10.1039/D3SC05121H.
46. Konovalenko A., Shablykin O., Shablykina O., Kozytskyi A., Brovares V. Convenient and versatile method of 8‑amino-6-(2-R-thiazol-4-yl)1,7-naphthyridines synthesis. Curr. Chem. Lett. 2024. V.13, N 1. P. 163-172. http://dx.doi.org/10.5267/j.ccl.2023.7.004.
47. Prysiazhniuk K., Datsenko O., Polishchuk O., Shulha S., Shablykin O., Nikandrova L., Horbatok K., Bodenchuk I., Borysko P., Shepilov D., Pishel I., Kubyshkin V., Mykhailiuk P. Spiro[3.3]heptane as a saturated benzene bioisostere. Angewandte Chemie. Int. Ed. Vol. 63, N 9. 2024.
https://doi.org/10.1002/anie.202316557.
48. Severin O., Kachaeva M., Pilyo S., Zhirnov V., Hodyna D., Bahrieieva O., Brovarets V. Synthesis, characterization of novel N-(4-cyano-1,3-oxazol-5-yl)sulfonamide derivatives and in vitro screening of their activity against NCI-60 cancer cell lines. ChemMedChem. V. 19, N5.2024.https://doi.org/10.1002/cmdc.202300527.
49. Zyabrev V., Demydchuk B., Pilyo S., Zhirnov V., Liavynets O., Brovarets V. Synthesis, characterization, and in vitro anticancer evaluation of 2,4-disulfonyl-substituted 5-aminothiazoles. Curr Chem Lett. Vol. 13, N 3. 2024.https://doi.org/10.5267/j.ccl.2024.2.003
50. Nallaparaju J.V., Satsi R., Merzhyievskyi D., Jarg T., Aav R., Kananovich D.G. Mechanochemical birch reduction with low reactive alkaline earth metals. Angew Chem Intern Ed. V. 63, N 20. 2024.https://doi.org/10.1002/anie.202319449.51. Semenyuta I., Golovchenko O., Bagreeva O., Vydzhak R., Zhirnov V., Brovarets V. Synthesis, characterization, in vitro anticancer evaluation, ADMET properties, and molecular docking of novel 5-sulfonyl substituted (thiazol-4-yl)posphonium salts. ChemMedChem. V.19, N 18. 2024.https://doi.org/10.1002/cmdc.202400205.
52. Bondarchuk T., Vaskiv D., Zhuravel E., Shyshlyk O., Hrynyshyn Ye., Nedialko O., Pokholenko O., Pohribna A., Kuchuk O., Brovarets V., Zozulya S. Synthetic amine lincers for efficient sortagging. Bioconjugate Chem. Vol. 35, N 8. 2024. https://doi.org/10.1021/acs.bioconjchem.4c00143.
53. Sinenko V.O., Los O.V., Potikha L.M., Brovarets V.S. Functionalized 1,3-thiazoles by combined halogen dance. Curr Chem Lett. Vol. 13, N 4. 2024.https://doi.org/10.5267/j.ccl.2024.5.001.
54. Hodyna D, Klipkov A., Kachaeva M., Shulga Y., Gerus I., Metelytsia L., Kovalishyn V. In silico design and in vitro assessment of bicyclic trifluorometylated pyrroles as new antibacterial and antifungal agents. Chemistry and Biodiversity. Vol. 21, N8. 2024.https://doi.org/10.1002/cbdv.202400638.55. Levterov V.V., Panasiuk Ya., Shablykin O., Stashkevych O., Sahun K., Rassokhin A., Sadkova I., Lesyk D., Anisiforova A., Holota Yu., Borysko P., Bodenchuk I., Voloshchuk N.M., Mykhailiuk P.K. 2-Oxabicyclo[2.1.1]hexanes: synthesis, properties, and validation as bioisosteres of ortho- and meta-benzenes. Angew. Chem. Int. Ed. Vol. 63, N 19. 2024.https://doi.org/10.1002/anie.202319831.
56. Prysiazhniuk K., Datsenko O.P., Polishchuk O., Shulha S., Shablykin O., Nikandrova Ye., Horbatok K., Bodenchuk I., Borysko P., Shepilov D., Pishel I., Kubyshkin V., Mykhailiuk P.K. Spiro[3.3]heptane as a saturated benzene bioisostere. Angew. Chem. Int. Ed. V.63, N 9. 2024.https://doi.org/10.1002/anie.202316557.
57. Kobrina L., Boiko V., Shtompel V., Hudzenko N., Rogalsky S., Frasinyuk M., Kozitskiy A., Riabov S. Inclusion complex of ionic liquid 1-dodecylpyridinium tetrafluoroborate with sulfobutyl ether-β-cyclodextrin: Preparation and characterization. J. Mol. Struct. V.1309. 2024.http://doi.org/10.1016/j.molstruc.2024.138137. 
58. Govor E. V., Naumchyk V., Nestorak I., Radchenko D.S., Dudenko D., Moroz Yu.S., Kachkovsky O.D., Grygorenko O.O. Generation of multimillion chemical space based on the parallel Groebke–Blackburn–Bienaymé reaction. Beilstein J. Org. Chem. V. 20. 2024.https://doi.org/10.3762/bjoc.20.143.
59. Chernykh A.V., Kudryk O.V., Olifir O.S., Dobrydnev A.V., Rusanov E., Moskvina V.S., Volochnyuk D.M., Grygorenko O.O. Expanding the chemical space of 1,2-difunctionalized cyclobutanes. J. Org. Chem.. Vol. 88, N 5. 2023.https://doi.org/10.1021/acs.joc.2c02892. 
60. Gryniukova A., Borysko P., Myziuk I., Alieksieieva D., Hodyna D., Semenyuta I., Kovalishyn V., Metelytsia L., Rogalsky S., Tcherniuk S. Anticancer activity features of imidazole-based ionic liquids and lysosomotropic detergents: in silico and in vitro studies. Molecular Diversity V. 28. 2024.https://doi.org/10.1007/s11030-023-10779-4.
61. Bondarchuk T., Vaskiv D., Zhuravel E., Shyshlyk O., Hrynyshyn Ye., Nedialko O., Pokholenko O., Pohribna A., Kuchuk O., Brovarets V., Zozulya S. Synthetic amine linkers for efficient sortagging. Bioconj. Chem. V.35, N8. 2024. https://doi.org/10.1021/acs.bioconjchem.4c00143.
62. Demchenko S., Yarmoluk S., Sukhovieiev V., Golovchenko O., Sukhovieiev O., Demchenko A. Syntheses and evaluation of novel 3-hydroxy-1,3-diaryl-2, 3,5,6,7,8-hexahydroimidazo[1,2-a]-pyridine-1-ium bromides as potential anticancer agents. Pharmacia Vol.71. 2024.https://doi.org/10.3897/pharmacia.71.e135992
63. Tsygankova V.A., Andrusevich Ya.V., Vasylenko N.M., Kopich V.M., Popilnichenko S.V., Pilyo S.G., Brovarets V.S. Auxin-like and cytokinin-like effects of new synthetic pyrimidine derivatives on the growth and photosynthesis of wheat. J Plant Sci Phytopathol. V.8, N1, 2024. https://dx.doi.org/10.29328/journal.jpsp.1001126
64. Blyuss K. B., Fatehi F., Tsygankova V. A., Biliavska L. O., Iutynska G. O., Yemets A. I., Blume Y. B. RNAi-Based biocontrol of wheat nematodes using natural poly-component biostimulants. Front. Plant Sci. V.10. 2019. https://doi.org/10.3389/fpls.2019.00483.
65. Krupodorova T., Barshteyn V., Tsygankova V., Sevindik M., Blume Y. Strain-specific features of Pleurotus ostreatus growth in vitro and some of its biological activities. BMC Biotechnol. V.24, N9. 2024. https://doi.org/10.1186/s12896-024-00834-9
66. Pidlisnyuk V., Mamirova A., Newton R.A., Stefanovska T., Zhukov O., Tsygankova V., Shapoval P. The Role of Plant Growth Regulators in Miscanthus × giganteus Growth on Trace Elements-Contaminated Soils Agronomy Vol.12, N12. 2022. https://doi.org/10.3390/agronomy12122999
67. Semenyuta I., Los. O., Sinenko V., Zhirnov V., Potikha L., Kobzar O., Brovarets V. Design, synthesis and antitumor potential of new thiazole-contained 5-fluoro-2-ox-indole as Sunitinib analogues. Current Medicinal Chemistry (BMS-CMC-2024-541). 2025. Vol. 32, N25. P. 5279-5291. DOI: 10.2174/0109298673346427241016100726
68. Severin O., Piyo S., Semenyuta I., Kachaeva M., Zhirnov V., Brovarets V. Design, synthesis and anticancer activity of novel 4-(5-amino-4-cyano-1,3-oxazol-2-yl)benzenesulfonamide derivatives. Curr. Chem. Lett. 2025. N 14. P. 159-172. DOI:10.5267/j.ccl.2024.8.001
69. Timokhin O.S., Romanova A.M., Moskvina V.S., Kucher O.V., Boiko A.I., Banasevych A.L., Darylin D., Brovarets V.S., Grygorenko O.O. Synthesis of enantioenriched 2-((hetera)cyclo)alkylchromanols and their spirocyclic analogs through enzymatic resolution. Eur. J. Org. Chem. 2025. Vol.28, N8. e202401247. https://doi.org/10.1002/ejoc.202401247
70. Zaika Y.O., Vashchenko B.V., Sosunovych B.S., Khutorianskyi A.V., Yasman P., Ogurok V.M., Brovarets V.S., Grygorenko O.O. [3+2]Cycloaddictions of α,β-unsaturated sultams. Eur. J. Org. Chem. 2025. Vol.28, N18. E202500093.
71. Varenyk A., Vydzhak R., Panchishin S., Ivanova I., Zhirnov V., Brovarets V. Desighn, synthesis, SHR and ADMET analyses of the novel class of synthetic 7-amino[1,2,5]oxadiazolo[3,4-b]pyridine-6-carboxylate derivatives with vasorelaxant activity. Results in Chemistry. 2025. Vol.13. e102031. https://doi.org/10.1016/j.rechem.2025.102031
72. Zaika Ye., Borodin I., Olekh H., Kovalov M., Diachenko O., Brovarets V., Vashchenko B., Grygorenko O. Bridged bicyclic ɣ-sultames by intramolecular Flow photochemical [2+2]cycloaddition. Org. Lett. 2025. Vol.27, N12. P. 2858-2862.
73. Brunet M., Amin S.A., Bodachivskyi Yu., Kuzhivmparonibil U., Seymour J.R., Paina J.-B. An atlas of metabolites driving chemotaxis in prokaryotes. Nature Commun. 2025. Vol.16, N1. P. 1242.
74. Merzhyievskyi D., Shablykin O.V., Jarg T., Brovarets V.S., Aav R., Kananovich D.G. Mechanochemical synthesis of 5-amino-4-cyanoxazoles. Eur. J. Org. Chem. 2025. Vol. 28, N 21. e202500145. DOI: 10.1002/ejoc.202500145
75. Semenyuta I., Pilyo S., Demydchuk B., O. Lyavinets O., Brovarets V., Velihina Ye. New 4-benzenesulfonamide derivatives of pyrazolo[1,5-a][1,3,5]triazine as purine bioisosteres: development, synthesis, and anticancer perspective. Curr. Med. Chem. 2025. doi: 10.2174/0109298673385989250711112625. Epub ahead of print. PMID: 40755111.
76. Piryatinski Y., Verbitsky A., Malynovskyi M., Rozhin A., Kachkovsky O., Maiko K., Slominskii Yu., Lutsyk P. Impact of terminal group on temperature-dependent excited state relaxation in cationic dyes. Chem. Physics. 2025. Vol.592. P. 112620.
77. Ovdenko V.M., Labunets A.R., Volochniuk M.O., Ronkovych A.V., Komarenko D.O., Kachkovsky O.D., Gayvoronsky V.Ya. Effect of nitrogen atom position in Sudan 1-like azo-naphtalene dyes on linear and nonlinear optical properties: DFT and experimental study. J. Mol. Struct. 2025. Vol.1333. P. 141735. https://doi.org/10.1016/j.molstruc.2025.141735
78. Hodyna D., Bahrieieva O., Shulga Yu., Kovalishyn V., Golovchenko O., Golovchenko O., Kachaeva M., Pilyo S., Trokhimenko O., Metelytsia L., Brovarets V. In silico and in vitro studies of 1,3-oxazol-4-yl phosphonium salts as dual-functional antibacterial and anticancer agents. Cmem. Select. 2025. Vol.10, N20. e00282. DOI: 10.1002/slct.202500282.
79. Pilyo S., Kachaeva M., Zhirnov V., Kovalishyn V., Velihina Ye., Semenyuta I., Metelytsia L., Brovarets V. Design, synthesis, anticancer screening and virtual analysis of new 7-sulfonyldiazepan- and 7-sulfonylpiperazinesubstituted oxazolo[4,5-d]pyrimidines . SynOpen. 2025. Vol.9. P.186-202. DOI: 10.1055/a-2688-5534.
80. Chumachenko S.A., Shablykin O.V., Shishkina S.V., Kozytskyi A.V., Shablykina O.V. N-(5-(Dichloromethylene)-2-oxoimidazolidin-4-ylidene)sulfonamides: Small molecules with big synthetic capabilities. Curr.Chem. Lett. 2025. Vol.14. P. 817-830.
81. Borodin I.O., Zaika Ye.O., Dorochenko I.O., Brovarets V.S., Grygorenko O.O., Vashchenko B.V. Scope and limitations of the use of partially unsaturated sultames as dienophiles and dienes in [4+2] Diels-Alder reaction. UBA. 2025. Vol.20, N1. P. 3-9.
82. Rybina Ye.Y., Moskvina V.S. Khilya V.P. Design, synthesis and structural characterization of coumarin-1,3,4-thiadiazole hybrids bearing cycloalkyl and phenyl substituents: expanding the chemical space for medicinal chemistry. UBA. 2025. Vol. 20, N 1. P. 10-18.
83. Timokhin O.S., Moskvina V.S., Kucher O.V., Keith K.A., Harden E.A., Hartline C.B., James S.H., Brovarets V.S. Chroman-4-one scaffollds as a platform for anticancer and antiviral lead discovery. UBA. 2025. Vol. 20, N 1. P. 19-25.
84. Jin Z., Olsen W.P., Mörman C., Leppert A., Kumar R., Møllebjerg A., Nielsen L.G., Moshynets O. V., Frasinyuk M.S., Elosua J.Y., Ferreira D., Abelein A., Landreh M., Knight S. D., Johansson J., Otzen D. E., Chen G. Helicobacter pylori CagA protein is a potent and broad-spectrum amyloid inhibitor. Sci. Adv. 2025. Vol.11, N24. eads7525. http://doi.org/10.1126/sciadv.ads7525
85. Gao L., Liu J., Zhang R., Chen X., Wang M., Dong Y., Frasinyuk M. S., Zhang W., Watt D., Meng W., Xue J., Liu C., Cheng Y., Liu X. A novel amino-pyrimidine inhibitor suppresses tumor growth via microtubule destabilization and Bmi-1 down-regulation. Biochem. Pharmacol. 2025. Vol.233. P. 116783. https://doi.org/10.1016/j.bcp.2025.116783
86. Myshko A.S., Mrug G.P., Bondarenko S.P., Demydchuk B.A., Kobzar O.L., Buldenko V.M., Vovk A.I., Frasinyuk M.S. Divergent synthesis of novel 3(5)-aminoazole–benzopyrone hybrids and their evaluation as α-glucosidase inhibitors. Chem. Med. Chem. 2025. Vol.20. e202400525. https://doi.org/10.1002/cmdc.202400525
87. Hodyna D, Klipkov A., Shulga Y., Shevchenko N., Kachaeva M., Kovalishyn V., Gerus I., Metelytsia L. Trifluoroacetyl-substituted quinolones as new antibacterials against antibiotic resistant strains. Lett. Appl. NanoBioSci. Vol.14, N1. 3. 10.33263/LIANBS141.003
88. Melnychuk P.V., Kulish O.V., Pavlish S.I., Kubyshkin V., Mykhailiuk P.K. P(O)Me2-Alkenes: from synthesis to applications. Org. Lett. 2025. Vol.27, N23. P. 6174-6178. 10.1021/acs.orglett.5c01805
Пошуки біоактивних препаратів серед синтезованих азагетероциклів здійснювались як співробітниками інших відділів біологічного спрямування нашого Інституту, так і спеціалістами Інституту молекулярної біології та генетики НАН України, Інституту ботаніки НАН України, Запорізького медичного університету, Університету Кентуккі (США), Національного інституту здоров’я (США), Національного інституту вивчення раку (США), Open Innovative Platform BASF (Німеччина).

Згідно з Угодою, підписаною в 2018 між ІБОНХ ім. В.П.Кухаря НАН України - "BASF займається дослідженнями, розробкою, виробництвом та збутом агрохімічної продукції та зацікавлений у подальшій розробці сполук, придатних для використання в агрохімічній продукції. BASF створив відкриту інноваційну агропромислову платформу, щоб перевірити, чи можуть сполуки, що надаються третіми сторонами, використовуватись як основа для розробки агрохімічної продукції та намагатись співпрацювати у галузі домовленостей (“Відкрита інноваційна платформа Агро - OIP AGRO”)".

Інститут біоорганічної хімії та нафтохімії ім. В.П.Кухаря НАН України відповідно до Угоди неклінічного тестування NIAID (“NCEA”), 2018р., брав участь в програмах за підтримки Відділення мікробіології та інфекційних хвороб (DMID), підрозділу Національного Інституту Алергії та Інфекційних захворювань ("NIAID"), установи Національного Інституту здоров'я, який є складовою частиною Департаменту здоров'я і обслуговування людини (HSS), агенції Уряду США. Проводились тестування близько 400 нових синтезованих речовин на можливу активність проти інфекційних організмів та вірусів.

ІБОНХ НАН ім. В.П.Кухаря НАН України в 2013р. підписав Угоду з Національним Інститутом раку США і за цей період було проведено скринінг більш ніж 1500 речовин на можливість використання в хіміотерапії раку.

В 2025 р. з Інститутом медичної біології Польської Академії наук була підписана Угода про спільне використання прав на винахідницький проєкт "Похідне нафталіміду, спосіб його отримання та застосування".
З метою впровадження результатів наукової діяльності співробітники відділу в рамках господарських договорів співпрацюють з установами та організаціями виробничого сектору.
Зокрема, з ТОВ «НВП «Укроргсинтез» проводяться роботи, які стосуються розробки препаративних синтезів біоактивних сполук гетероциклічної природи: азолів, азинів та їх конденсованих похідних.

Наукові співробітники групи біологічного скринінгу синтетичних сполук відділу, яку очолює провідний науковий співробітник, доктор біологічних наук В.А. Циганкова, проводять спільне науково-технічне співробітництво з СТОВ “Перемога” (с. Малополовецьке, Фастівський район, Київська обл.). На полях СТОВ “Перемога” проводяться спільні випробування синтезованих у відділі регуляторів росту рослин на урожайність пшениці ярої твердої сорту Деміра. На основі результів польових випробувань розроблено методологію передпосівної обробки насіння рослин пшениці регуляторами росту рослин, проведено оцінку економічної ефективності розроблених регуляторів росту рослин. Відповідно до Акту про польові випробування регуляторів росту рослин СТОВ “Перемога” рекомендує впровадження розроблених у відділі регуляторів росту у практику сільського господарства, що буде сприяти вирішенню проблеми продовольчої кризи в умовах воєнного стану, забезпечення населення продуктами харчування та збереження довкілля, а також дозволить економити державні кошти на закупівлю дороговартісних регуляторів росту рослин іноземного виробництва.

Деякі результати впровадження результатів досліджень дослідників відділу №2 в народному господарстві





















![12-16 листопада 2018 року делегація Інституту біоорганічної хімії та нафтохімії ім. В.П. Кухаря НАН України брала участь у 8-й Міжнародній конференції “Хімія азотовмісних гетероциклів” присвячену пам’яті професора Валерія Орлова (8th International Conference “CHEMISTRY OF NITROGEN CONTAINING HETEROCYCLES” in memoriam of Prof. Valeriy Orlov), м. Харків. Було представлено три усні доповіді: Dr. Esma Abdurakhmanova “New phosphonopeptidomimetics: synthesis and properties” Dr. Oleksandr Kozachenko “Syntheses of new azolopyrimidines on the basis of 2 acylamino-3,3-dichloroacrylonitriles” Dr. Maryna Kachaeva “Anticancer activity of new 1,3-oxazole derivatives: in silico and in vitro” Аспіранка відділу №2 Євгенія Велігіна була нагороджена дипломом за найкращу стендову доповідь “Synthesis, characterization, and in vitro anticancer evaluation of 7-piperazin-substituted [1,3]oxazolo[4,5-d]pyrimidines“.](https://bpci.kiev.ua/wp-content/uploads/2025/04/image01-1024x495.jpg)

![12-16 листопада 2018 року делегація Інституту біоорганічної хімії та нафтохімії ім. В.П. Кухаря НАН України брала участь у 8-й Міжнародній конференції “Хімія азотовмісних гетероциклів” присвячену пам’яті професора Валерія Орлова (8th International Conference “CHEMISTRY OF NITROGEN CONTAINING HETEROCYCLES” in memoriam of Prof. Valeriy Orlov), м. Харків. Було представлено три усні доповіді: Dr. Esma Abdurakhmanova “New phosphonopeptidomimetics: synthesis and properties” Dr. Oleksandr Kozachenko “Syntheses of new azolopyrimidines on the basis of 2 acylamino-3,3-dichloroacrylonitriles” Dr. Maryna Kachaeva “Anticancer activity of new 1,3-oxazole derivatives: in silico and in vitro” Аспіранка відділу №2 Євгенія Велігіна була нагороджена дипломом за найкращу стендову доповідь “Synthesis, characterization, and in vitro anticancer evaluation of 7-piperazin-substituted [1,3]oxazolo[4,5-d]pyrimidines“.](https://bpci.kiev.ua/wp-content/uploads/2025/04/image08.jpg)





Співробітники відділу №2 біля альтанки на святкуванні Дня Хіміка 23.05.2025р.

20 червня 2025 року в Інституті відбулась ХL наукова конференція з біоорганічної хімії та нафтохімії.
© 2026 IBOPC NAS of Ukraine